Γ-六氯环己烷
γ-六氯环己烷
| γ-六氯环己烷 | |
|---|---|
![]() | |
| 系统名 (1r,2R,3S,4r,5R,6S)-1,2,3,4,5,6-hexachlorocyclohexane | |
| 英文名 | γ-hexachlorocyclohexane |
| 别名 | 林丹 林登 γ-六六六 γ-HCH |
| 识别 | |
| 缩写 | γ-HCH |
| CAS号 | 58-89-9 |
| PubChem | 727 |
| SMILES |
|
| InChI |
|
| ATC代码 | P03AB02,ATCvet代码 (QP53) ATCvet代码 (QS02) |
| 性质[1][2] | |
| 化学式 | C6H6Cl6 |
| 摩尔质量 | 290.8298 g·mol⁻¹ |
| 外观 | 无色无味固体 |
| 密度 | 1.85 g·cm−3 |
| 熔点 | 112.9°C |
| 沸点 | 323°C(分解) |
| 溶解性(水) | 难溶于水:8.2 mg·l−1 (25 °C) |
| 蒸气压 | 5.1 Pa |
| 药理学 | |
| 药品分级 | 169个斯德哥尔摩公约缔约方禁止林丹的生产和在农业上的应用 |
| 妊娠分类 | C |
| 危险性 | |
| 欧盟危险性符号 | |
| 警示术语 | R:R20/21, R25, R48/22, R64, R50/53 |
| 安全术语 | S:S1/2, S36/37, S45, S60, S61 |
| NFPA 704 | |
| 若非注明,所有数据均出自一般条件(25 ℃,100 kPa)下。 | |
γ-六氯环己烷(γ-HCH),俗称林丹(Lindane),是农药六氯环己烷(六六六)的一种异构体,也是该杀虫剂的有效成分。
目录 |
制备
工业品六六六是多种异构体的混合物,其中γ-异构体仅占12–16%,其余均为无效成分。根据各异构体在有机溶剂中的不同溶解度,可以通过溶剂提取而将高含量的γ-异构体从中提取出来。当γ-六六六含量超过99%时称为林丹。最常用的提取溶剂是甲醇。
性质
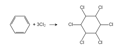
γ-六氯环己烷是六氯环己烷的一种立体异构体,该异构现象是由环己烷构象情况所决定的。其结构中,氯原子在环上的位置为a,a,a,e,e,e位(a = 直键,e = 平键)。除γ-异构体外,六氯环己烷还有α-、β-、δ-和ε-异构体。
工业品六六六为具有强烈刺鼻恶臭的白色固体,但纯γ-六六六为白色无臭的结晶。γ-六六六可以在浓硝酸中重结晶,说明其化学稳定性是很高的。
六六六对光、热、酸和氧化介质均很稳定,不过在碱性条件下会消除氯化氢,最终得到1,2,4-三氯苯。
用途
作为农药时叫“六六六”,有效成分主要是俗称“林丹”或“林旦”(Lindane)的γ-异构体,常施于蔬果等作物。对昆虫有触杀、胃毒和熏蒸作用。是一种广谱性杀虫剂,用来防治果树、蔬菜、水稻、经济作物等多种害虫。也是一种土壤杀虫剂。
γ-六氯环己烷有毒,致畸,易残留。不仅残留在蔬果上的农药会对人造成危害,残留在土壤中也会影响后一年作物的生长。目前在世界许多地区,包括中国大陆,已经禁止使用该农药。平时以晶状方式呈现,不易溶于水及不易受到生物分解,会影响人体的神经中枢、肝脏、肾脏,并且容易导致产下畸形儿。
含γ-六氯环己烷1%的药物林丹软膏,用于治疗阴虱、疥虫等人体寄生虫。但是由于其具有低毒性,孕妇及儿童不可使用。
历史
1825年,英国科学家迈克尔·法拉第发现苯和氯在日光照射下反应,可以得到一种固体产物。1912年,荷兰化学家林丹(Teunis van der Linden)指出,在六六六混合物中存在4种立体异构体。但直到1935年,六六六的杀虫活性才由Bender发现。随后Slade和法国人Dupire也各自发现六六六的杀虫活性。Slade还进一步指出,六六六的生物活性几乎完全是由其γ-异构体的存在引起的。
六六六在20世纪五六十年代曾是中国生产最多、应用最广的一种杀虫剂,它在确保农业丰收和预防传染病方面起到了巨大的作用。
据估计,1950至2000年间,全球林丹的总产量约为60万吨,其中大多数是用在农业方面。由于林丹是一种持久性有机污染物,并对人体具有一定的毒性,截至2006年11月,已有52个国家禁止林丹的使用,另有33个国家对林丹的使用做出限制。2009年的《斯德哥尔摩公约》会议,明确禁止林丹的生产和在农业上的应用。
中国很早便停止了六六六的使用,但林丹可能仍然在生产和使用。香港自1991年起禁止六六六的使用(注销登记)。[3]
在1996~1998年,ES & T的Middeldorp及Van Eekert两人发现六氯环己烷在厌氧状态下提供碳源,可催化细菌将六氯环己烷分解成苯及氯苯,分别再经厌氧及耗氧状态下完全分解成水、二氧化碳、甲烷、氢离子及氯离子等,利用这个结果运用在Akzo Nobel在荷兰的污染场址,评估利用现有细菌分解六氯环己烷可行性。
毒性
γ-六六六的大鼠口服急性毒性比DDT高。给药后,曾在动物的奶和脂肪中发现有林丹的存在,但可以相当快地排出体外,因而累积体内的危险性较小。不过,工业品六六六中含有一定量的α-和β-六六六,这两种异构体使积蓄的可能性和累积毒性大大提高。
代谢
动物体内,林丹首先主要经由各种过程转变为1,2,4-三氯苯,然后进一步生成三氯酚的各种异构体,并经与葡糖醛酸的结合而排出体外。在昆虫体内,林丹主要降解为五氯环己烯,再与谷胱甘肽形成加成产物。
作用机制
六六六的作用机制与滴滴涕有较大的区别,而与环戊二烯类杀虫剂有些类似。六六六主要作用于中枢神经系统,对周围神经系统也有作用。作用部位是突触。实验表明,其对突触的作用方式主要是促使突触前膜过多地释放乙酰胆碱,从而引起典型的兴奋、痉挛、麻痹等征象。而至于六六六引起乙酰胆碱释放的具体机制,目前仍然不很清楚。
测定方法
一种方法是比色测定六六六脱氯化氢、硝化等反应后产生的1,3-二硝基苯与丁酮形成的有色配合物,而电子捕获气相色谱的测定可达毫微克量。这些方法均适合残留量的测定。
参考资料
- ↑ Record of Lindan in the GESTIS Substance Database from the IFA
- ↑ Jenny Hartmann-Schreier, in: Roempp Online - Version 3.5, 2009, Georg Thieme Verlag, Stuttgart.
- ↑ 香港-环境保护署.




